SIP Delay Calculator
Loss Due to Delay : ₹0
Total Invested: ₹0
Total Interest: ₹0
Maturity: ₹0
Total Invested: ₹0
Total Interest: ₹0
Maturity: ₹0
Related Tools
Cost of Delay SIP
SIP Delay Calculator or Cost of Delay Calculator: Starting SIP at the right time is important to achieve future financial goals; delaying SIP might cause a loss of the compounding interest over time, but how much is the potential loss in wealth? Our SIP Delay calculator will let you know the potential loss of wealth due to delay. In SIP, this is a powerful tool that demonstrates the loss through numbers as well as in charts.
Table of contents
What is a SIP Delay Calculator?
An SIP Delay Calculator is a tool that helps investors to estimate their loss if they delay in stating their SIP or their investment. This tool calculates the investment and shows the comparison table between the early or start day and delays in starting SIP and shows the difference between immediate vs. delay based on current time and delay months.
How Does the SIP Delay Calculator Work?
Our SIP Delay Calculator does the calculation based on the investor’s four inputs, which include monthly SIP value, annual expected interest rates, investment period in years, and delayed months. This calculator tool uses the power of compounding to calculate the potential difference in investment returns, and the investor can understand the cost of delay in SIP.
Let’s take inputs and calculate the cost of delay formula.
- Monthly SIP Amount (P): ₹5,000
- Annual Interest Rate (r): 12%
- Investment Period: 20 years
- Delay: 24 months
- Effective Investment Period (after delay): 18 years (216 months)
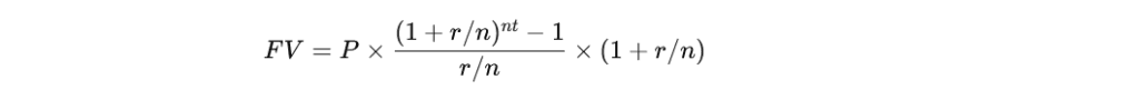
Step 1: Formula for Future Value of SIP—
The formula for SIP Future Value (FV):

Where:
- P = SIP Amount
- r = Annual Interest Rate
- n = Compounding Frequency (12 for monthly compounding)
- t = Investment Period in Years
Step 2: SIP Start Immediately
- Substitute values for 20 years:
- P = ₹5,000
- r = 0.12
- n = 12
- t = 20

Step-by-step:

- Total Interest Earned:
₹49,95,740−₹12,00,000=₹37,95,74070
Step 3: SIP Start Late
- Substitute values for 18 years (216 months):
- P = ₹5,000
- r = 0.12
- n = 12
- t = 18

Step-by-step:

Total Interest Earned: ₹38,27,196−₹10,80,000=₹27,47,196
Step 4: Loss Due to Delay
- Difference in Maturity Amount: ₹49,95,740−₹38,27,196=₹11,68,544
Results
- SIP Start Today:
- Total Invested: ₹12,00,000
- Total Interest Earned: ₹37,95,740
- Maturity Amount: ₹49,95,740
- SIP Start Late:
- Total Invested: ₹10,80,000
- Total Interest Earned: ₹27,47,196
- Maturity Amount: ₹38,27,196
- Total Loss Due to Delay: ₹11,68,544
Why Use a SIP Delay Calculator?
Calculating the delay loss using a manual formula is a difficult task and may not be familiar to all. As checked, there are a lot of calculations in the backend, but our SIP Delay Calculator does this task on a real-time basis. As soon as the investor provides the input, it calculates the values and shows the results within seconds with a full comparison and chart.

The SIP Delay Calculator helps you:
- Understand the Cost of Procrastination: The tool highlights that delayed investment costs you wealth.
- Visualize Lost Opportunities: This tool visually shows how much return you lose and motivates you as soon as you start.
- Encourage Disciplined Investing: it helps the investor to reinforce starting early and earn maximum returns.
Final words
Our SIP Delay Calculator shows how time is the most valuable asset investment; this tool highlights the cost of delay in SIP and motivates people to start investing sooner. After understanding the cost of delay, investors can plan their financial goals by taking proactive steps. Use toolifypro.com and use our SIP Delay Calculator and other financial tools.